|
MATEMÀTIQUES 1r BATX.
NOMBRES REALS I POLINOMIS
NOM------------------------------------------------------------GRUP------
5-11-98
- Expressa de manera exacta l'àrea lateral d'un cilindre de 5 cm de radi i 1dm d'altura.
(1 punt)
- Indica si és cert o fals, raonadament:
a. és irracional.
b. (p
+6)/3 està comprès entre 3 i 4
c. 0/3 és un nombre irracional
d. és diferent de zero
(1 punt)
- Expressa en forma d'una sola arrel:
(1 punt)
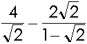
- Racionalitza i calcula:
(1 punt)
- Respon raonadament:
a. Un polinomi P(x) és divisible per x+3. Per quin valor de x aquest polinomi té valor numèric 0?
b. Un polinomi P(x) té una arrel per x=2. Quin és un divisor de grau 1 d'aquest polinomi?
c. Si P(x) té grau 2, quin és el grau de P(x)3?
d. Si P(x) i Q(x) són polinomis del mateix grau, aleshores segur que p(x)+Q(x) és també un polinomi del mateix grau.
(1 punt)
- Sigui A(x)=-x2-3x+2 i B(x)=x3+3x. Calculeu (A(x)+B(x))·B(x)
(1 punt)
- Factoriza aquests polinomis i escriu quines són les seves arrels:
a. x4-81x2 b. x4+2x3-7x2-20x-12
(2 punt)
- Efectua i simplifica:
a. b. 
(2 punt)
|