|
MATEMÀTIQUES BATX. CIENTÍFIC
Recuperació Juny 1999
16-6-99
1ª AVALUACIÓ
Efectua i simplifica el resultat:
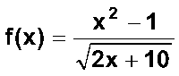
a) Trobeu el domini de la següent funció:

b) Calculeu el límit de la successió:
2ª AVALUACIÓ
a) Calculeu el límit següent:

b) Estudieu la continuïtat de la següent funció, i classifiqueu els possibles punts de discontinuïtat:

Un triangle té un angle de 30º i els dos costats que el formen mesuren 4m i 7m. Calculeu la longitud del 3r costat i l'amplitud dels dos angles que falten.
3ª AVALUACIÓ
a)Els punts A(0,3), B(-1,-1) i C(3,1) són els vèrtexs del paral·lelogram ABCD. Calculeu les coordenades de D (usant vectors) i les equacions de les rectes que contenen les diagonals.
b) Escriviu l'equació de la circumferència de centre el punt (3, 2) i que que sigui tangent a la recta 2x-y+5=0
Deriveu:
a) b) 
c) d)
|