Tema 1 Nombres i Funcions ·
Expressa en forma d'una sola potència: a) ·
Racionalitza les expressions fraccionaries següents: a) ·
Representa a la recta: a) Tema 2 Polinomis ·
Si A(x)=x4-3·x2, B(x)= x-3 i C(X)=2·x3-3·x2+2·x+1 calcula: a) [C(x)·2·B(x)]-A(x) b) 2·C(x)-[B(x)·A(x)] c) [3·A(x)·C(x)]+B(x) ·
Resol les següents equacions polinòmiques: a) 2·x3-10·x2+12·x=0 b) 5·x4-135·x2=0 c) 2/8·x4-6·x3+18·x2=0 d) e) h) k) e) ·
Calcula quant val c per tal que la divisió tingui 4 de residu: [3·(c+2)·x3-2·x2-3·(1-3·c)·x+c+118] :(x-1) ·
Calcula: a) ·
Calcula les següents divisions: a) d) ·
Calcula el màxim comú divisor i el mínim comú múltiple: a) Tema 3 Funcions ·
Troba el domini de les següents funcions: a) f) ·
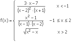
Calcula f(-3), f(2), f(-1), f(0), f(4), f(3): ·
Troba la funció inversa i fes-ne la comprovació: a) f(x)= 1/3·x-2 b) f(x)= ·
Donades les funcions f(x)=3-5·x2 i g(x)=4·(x+2)2: a) (f+g)·(x) b) (f·g)·(x) c) (f Tema 4 Successions ·
Calcula termes avançats de cadascuna de les successions següents per poder dir quin es el límit i classificar-les en convergents i divergents: a) ·
Escriu tres termes més de les següents successions: a)7, 5, 3 ,1 b)1.5, 1.9, 2.3, 2.7,... c)1, -4 ,9, -16, ... d) ·
Escriu el terme general de les successions: a) ·
Calcula els següents límits: a) d) g) k) n) ·
Estudia la monotonia de les successions següents i troba si existeixen les fites superior i inferior: a) Tema 5 Límits i continuïtat de Funcions ·
Troba el domini i les discontinuïtats de les funcions: a) d) g) ·
Troba el límit de les següents funcions: a) d) g) 
b)
c)
d)
f)
g)
b)
c)
d)
e)
f)![]()
b)
c)
d)
e) ![]()
=0
f)
g) ![]()
i)
j) ![]()
l)
![]()
b) ![]()
b)
c) ![]()
e) ![]()
b) ![]()
b)
c)
d)
e)![]()
g)
h)
i)
j)

c) f(x)=
d) f(x)=![]()
g)·(x) d) (f
f)·(x) e) ![]()
b)
c)
d)
e)
f) ![]()
f) 0.3, 0.003, 0.0003, ...
b)
c) ![]()
b)
c) ![]()
e)
f) 
i)
j) ![]()
l)
m)
o)
p) 
b)
c)
d) ![]()
b)
c) ![]()
e)
f) ![]()

b)
c)
e)
f)![]()
h)
i) ![]()