MATEMÀTIQUES I
GEOMETRIA C.O.U.
24-1-97
- a) Expliqueu perquè que a R3 necessitem dues equacions per representar una recta. Què representa cada equació per separat?
b) Expliqueu les possibles posicions relatives de dues rectes a l’espai i raoneu com reconeixerem cada cas a partir de les seves equacions implícites.
(1p+2p)
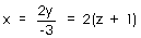
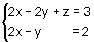
- a) Trobeu l’equació cartesiana del pla de l’espai que conté la recta d’equacions

i és paral·lel a la recta d’equacions 
b) Calculeu la distància entre les dues rectes anteriors.
(1p+1p)
- Considereu la recta r de R3 d’equacions
Trobeu el peu de la perpendicular traçada des del punt P(5,5,3) a la recta r i calculeu la distància entre P i la recta r.
(1p+1p)
- a) Raoneu la formula de l’angle entre una recta i un pla, a partir del producte escalar de vectors.
b) Trobeu els valors de a que fan que la recta de R3 d’equacions
i el vector perpendicular al pla z=0 formin un angle de 30º.
(1p+2p)
