MATEMÀTIQUES I
OPCIÓ A
(Cada pregunta val 2 punts)
- Tenim vuit cadires al voltant d’una taula octogonal, una a cada costat de l’octògon, i vuit persones, A, B, C, D, E, F, G i H, s’hi asseuen a l’atzar. Si sabem que A s’ha assegut enfront de B, quina probabilitat hi ha que C s’hagi assegut enfront de D? Expliqueu bé el perquè de la vostra resposta (l’octògon és regular).
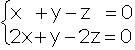
- Discutiu el sistema d’equacions següent segons els valors del paràmetre
l:

Considereu la recta següent:

Doneu l’equació cartesiana del pla que conté la recta anterior i que és perpendicular al pla x + y - z = 0.
Calculeu el volum del cos de revolució que obtenim si fem girar l’el·lipse x2 + 2y2 = 1 al voltant de l’eix de les x. Expliqueu bé el perquè de la vostra resposta.
Trobeu el punt de la paràbola y = 2x 2 que està més a prop del punt (9,0).
MATEMÀTIQUES I
OPCIÓ B
(Cada pregunta val 2 punts)
- Trobeu una primitiva de la funció f(x)= x2e-2x (utilitzeu dues vegades la fórmula d' integració per parts).
- Trobeu, justificant els càlculs o les fórmules emprades, la distància del punt (1, -1, 1) a la recta següent:

- Determineu a perquè el pla 4x + ay + 3z = a contingui la recta següent:

Expliqueu detalladament el perquè de la vostra resposta.
- Un estudi estadístic sobre els partits de futbol de primera i segona divisió demostra que en 49% de partits guanya l’equip de casa i que el 22% de partits acaben en empat. Calculeu quina probabilitat tindrem que en una jornada de lliga triada a l’atzar hi hagi, en els 14 partits que constitueixen la travessa (sense comptar el ple al 15), 7 victòries de l’equip visitant. Expliqueu bé el perquè de la vostra resposta.
- a)Expliqueu el concepte de mínim local d’una funció i la diferència que hi ha entre els conceptes de mínim local i de mínim absolut.
b)Sabem que el gràfic de la derivada f’(x) d’una funció f(x) és el que mostra el dibuix (s’anul·la per a x=1, x=2 i x=3). Digueu quins valors de x corresponen a mínims locals de f(x). Expliqueu bé el perquè de la vostra resposta.

