MATEMÀTIQUES I
COU SETEMBRE 97
OPCIÓ A
1. En Joan agafa el paraigua, perquè avui plou. Se sap que té una probabilitat total del 60% de tornar sense paraigua, perquè sis de cada deu vegades que surt amb ell se n’oblida. Però si a la tornada ha parat de ploure, llavors la probabilitat de tornar sense el paraigua és del 90%. Se sap que set de cada deu vegades que surt plovent també torna plovent ( i a vegades també sense paraigua ). Avui en Joan torna plovent. Quina és la probabilitat que també hagi oblidat el paraigua?
(2 punts)
2. Troba el punt de la circumferència x2+y2=2 que està més a prop del (2,2).
(2 punts)
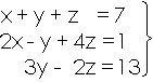
3. a) Quina figura geomètrica formen les solucions del següent sistema:

b) Quin coeficient canviaries i com perquè el conjunt de solucions fos buit?
(2 punts i 1 punt)
4. Calculeu l’àrea de la regió plana limitada per la corba
i la seva tangent en x=0 entre x=1 i x=-1.
(3 punts)
MATEMÀTIQUES I
COU SETEMBRE 97
OPCIÓ B
1. Digueu raonadament si són certes o falses les afirmacions següents:
a) La funció f(x) = 10x és creixent en el seu domini.
b) Si una funció g(x) és derivable amb un mínim relatiu en el punt x0, amb g(x0)=5, llavors la funció ln(g(x)) també té un mínim relatiu en x0, amb valor mínim ln(5).
( 1 punt cada apartat)
2. Definiu el concepte de primitiva d’una funció. Per cada una de les funcions següents, calculeu la primitiva que compleix la condició que la seva gràfica passa pel punt (0,2).

(mig punt la 1a part i 1,5 per les dues primitives)
3. Quin és el volum màxim que pot tenir una piràmide de base un triangle equilàter i tres arestes laterals d’un metre? (Recordeu que el volum d’una piràmide és un terç de l’àrea de la base per l’alçària)
(3 punts)
4. Considereu la recta r de l’espai donada per les equacions:

on a és un paràmetre, i la recta s que té (1,
, -1) com a vector director i que passa per (b,-2,c). Determineu els valors de a, b i c per tal que r i s es tallin a l’origen formant un angle de 45 graus.
(3 punts)