La Revista Electrònica. Treballs i Recerques. Número 1
CAMPS. Programa de representació gràfica del moviment d'una partícula dins d'un camp

2. Procés de desenvolupament

En aquest apartat explicarem el procés que vàrem seguir per resoldre totes les qüestions que es van plantejar durant la realització del programa. El primer problema va ser el del sinus que expliquem en el primer apartat, seguidament la realització del cosinus i la tangent. Després introduírem les fórmules de la cinèmatica dins el programa que ens van servir per fer que la partícula descrigués el moviment desitjat. Finalment introduim el problema de la conservació de l'energia.

  1. Procés de realització del sinus (Lagrange).
    Quan vam començar a realitzar el programa informàtic vàrem intentar veure quin tipus de funcions podien intervenir a l'hora de expressar un camp o una força. Una de les funcions bàsiques que necessitàvem per fer el nostre treball era el sinus, funció trigonomètrica que no existia en el llenguatge de programació que vàrem utilitzar. Llavors, el problema que se'ns va plantejar era trobar un mètode, per poder fer els càlculs del sinus el màxim de precisos possible. Vàrem començar una investigació dels diferents tipus de sistemes que ens podrien servir per fer un bon càlcul. Així primer de tot utilitzàrem el mètode d'aproximació pels polinomis de Lagrange que, en el primer moment ens va semblar que era suficientment precís. Però un cop entrats en els càlculs del moviment de la partícula vàrem veure que el mètode utilitzat no era prou precís i ens produia error. Així doncs, buscàrem un altre procés pel qual els errors que ens donaven fins aquell moment no es produïssin. Aquest fou que fou el de buscar un polinomi que s'aproximés el màxim a la zona de 0 a de la gràfica del sinus. Ara a continuació desenvoluparem pas a pas cadascun dels mètodes anteriorment comentats.
    1. Càlcul mitjançant els polinomis de Lagrange.
      Primer de tot cal destacar que la gràfica del sinus és periòdica la qual cosa ens permetrà simplificar els càlculs. Sabent que la gràfica de 0 a es repeteix simètricament vàrem aplicar el mètode de Lagrange en aquest segment de funció i la resta de valors els vàrem extreure a partir de la idea de periodicitat de la gràfica. Així calcular el sinus de és el mateix que calcular el de que és el mateix que calcular el de 0.
      Agafem l'intèrval de a i el dividim en 6 subintervals. Llavors segons el mètode de Lagrange agafem tres punts, dintre dels quals hi hagi el valor de sinus que volem calcular. En aquest espai el polinomi de Lagrange ens farà el càlcul del sinus. El mètode de Lagrange comença amb una taula de valors de la zona que ens interessa:
      A partir de les dades de la taula construirem els polinomis de Lagrange obtindrem un polinomi que ens calcularà la funció sinus des de 0 a :
      El primer pas és calcular els sis polinomis de Lagrange corresponents a la distribució de punts que hi ha a la taula:
      I així successivament fins a . Un cop tenim tots els polinomis podem escriure el polinomi final. Quan introduïm el primer valor de x de la taula en el polinomi el resultat és 1. En canvi quan introduïm els altres valors de la taula el resultat del polinomi és 0. Pel segon polinomi el valor que fa que el resultat sigui 1 és el segon, pel tercer el tercer i així successivament. Així veiem que l'únic polinomi que passarà pel punt que ens interessa serà el que no resulti 0. Ara podem extreure el polinomi interpolador, que és el polinomi que ens donarà el resultat del sinus que ens interessa i que, a la vegada, és l'únic polinomi que passa pels sis punts de la taula.
    2. Aproximació pel polinomi d'onzè grau.
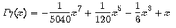
      Per tal de millorar el càlcul del sinus vàrem buscar un funció la gràfica de la qual fos molt semblant a la del sinus, com a mínim a la zona simètrica del sinus. I en les nostres investigacions trobàrem que el polinomi de grau 11 era quasi perfectament igual a la gràfica del sinus de - a . Per tal de trobar la fórmula general d'aquest polinomi vàrem començar amb polinomis més petits, i posteriorment ho vàrem aplicar al polinomi de grau 11. Exactament ho férem pel polinomi de grau 7:
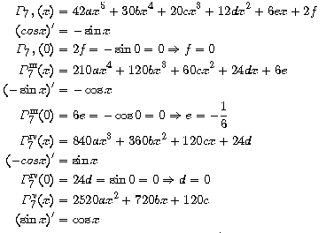
      Ara donant un valor de 0 a x trobem el que val la h:
      A continuació per trobar la següent lletra (g) derivem el polinomi i la funció sinus, posteriorment substuïm la x pel valor 0:
      I per trobar les altres lletres seguim el mateix procediment:
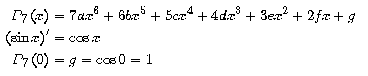
      I ara ja podem construir la fórmula del polinomi de grau 7:
      Però ara per poder construir una fórmula pel polinomi de grau 11 ens cal saber la progressió que hi ha entre les lletres a, b, c, etc... I és:
      Així doncs aquest polinomi queda de la següent forma:
      Finalment, seguint aquesta progressió podem fer la fòrmula del polinomi de grau 11, que és la següent:
      Aquesta serà la fórmula que ens permetra calcular de la forma més precisa el sinus, on iguala a sin x al punt 0 i a les seves onze primeres derivades.
  2. Càlcul de la tangent i del cosinus.
    El càlcul de la tangent i el cosinus és molt fàcil d'obtenir un cop es té el sinus. Per simples raons trigonomètriques obtenim aquest dos càlculs:

[ Capítol anterior ] [ Tornar a l'índex ] [ Capítol següent ]