La Revista Electrònica. Treballs i Recerques.
Número 1
CAMPS. Programa de representació gràfica del moviment d'una partícula dins
d'un camp
3. Procés d'iniciació del programa informàtic. (Creació del programa)
Un cop resolts els primers problemes amb el sinus i les altres raons
trigonomètriques ja podíem començar la creació del programa, amb els
nostres coneixements informàtics adquirits.
- Primera introducció de fórmules de cinemàtica.
Feta ja l'estructura del programa informàtic ara ens feia falta
començar a relacionar les nostres pretensions amb la Física. Per
entrar en matèria pensàrem com podríem, a partir de les dades
introduïdes en el programa, calcular els diversos punts en què es
desplaçaria el nostre cos, per tant vam aplicar les fórmules bàsiques
de cinemàtica que en definitiva són les que descriuen les propietats
del moviment. Així a partir d' una massa, de les coordenades inicials,
de les velocitats inicials i en un primer terme de la força,
intentàrem calcular quin seria el següent punt que la nostra particula
descriuria. Aquest procés que esmentem aquí ja s'explicarà en un
apartat posterior, només exclusiu pel càlcul d'un punt a partir d'un
altre. Per tant ara anirem comentant cada fórmula utilitzada en el
programa i la seva utilitat posterior en el programa.
- Fórmula de la velocitat en un moviment
accelerat.
És la primera fórmula tractada i correspon al càlcul de
velocitat dins un moviment amb acceleració constant. La
velocitat antiga es veu afectada per una acceleració en el temps
que li produeix un augment del seu valor.
Formada per una
, resultat del
càlcul, d'una
velocitat inicial, i
d'una a.dt, acceleració constant en el temps.
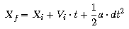
- Fórmula de la posició en un moviment
accelerat.
Aquesta fórmula correspon a un càlcul per trobar un nou punt en
l'espai dins un moviment que pot tenir o no una velocitat
constant i que es veu afectat per una acceleració que produeix
un canvi d'aquesta velocitat que alhora fa canviar el punt final
buscat, d'una manera substancial.
Com podem veure amb la seva representació consta: d' una posició
inicial d'on parteix el càlcul, d'una velocitat inicial que està
lligada amb el temps i finalment d'una acceleració que respon a:
- Fórmula de la posició en un moviment uniforme.
Aquesta fórmula com l'anterior s'utilitza per calcular un punt
nou però en aquest cas dins un moviment uniforme, només la
velocitat actua i és la única causant del desplaçament.
Com s'observa té una
posició
després del moviment, una
posició
inicial, i finalment V.t que en definitiva és l'espai
recorregut durant el moviment.
- Fórmula de la força.
És l'habitual representació de força on una massa rep una
acceleració.
- Càlcul d'un punt a partir de l'anterior.
En aquest apartat pretenem ensenyar la tècnica bàsica que hem fet
servir perquè el nostre cos es mogués en l'espai. Primer de tot
partíem d'unes condicions inicials com eren: Força (descomposada en
l'eix de les "x" i de les"y"), posició (també
descomposada) i les velocitats
Per tant el primer problema era com a partir d'aquests condicionants
poder fer el càlcul de les següents posicions, és a dir, de la
trajectòria de la partícula. Així per no complicar els càlculs primer
aplicàrem el concepte de força als càlculs que posteriorment es
complicaria amb d'altres problemes, com ara el de la conservació de
l'energia. Així per iniciar el càlcul partíem d'una força
predeterminada segons l'usuaris del programa i gràcies a aquesta
obteníem l'acceleració a partir de càlculs simplíssims a partir de
l'equació de la força:
Així un cop obtinguda l'acceleració l'introduíem a la fórmula de la
velocitat. Fins aquí no hi havia problema però ara és quan s'ha
d'aplicar el concepte de "diferencial de temps". Per fer els càlculs
el màxim de precisos agafàrem uns diferencials de temps força reduïts
per així poder descriure amb el màxim de precisió la trajectòria. Un
cop trobada la nova velocitat, tant en l'eix "x" com en l'eix
"y" ja era el moment de buscar les noves posicions aplicant
les fórmules anteriorment descrites. Aquest és el procés bàsic que hem
utilitzat i a partir del qual podem fer moure la nostra partícula. Ara
per exemplificar el càlcul podem una taula on es pugui veure el procés
fet.
- El problema de la no conservació de l'energia. Mètode
d'Euler.
Un cop vam haver realitzat el programa vam intentar que la nostra
partícula realitzés el moviment d'un planeta, introduint una fórmula
de camp gravitatori, en funció de la posició relativa. El que
esperàvem és que la nostra partícula recorrés una trajectòria
el.líptica perfecta. Però, en fer que el programa ho realitzés vam
veure que la nostra partícula seguia cada cop una trajectòria més
tancada i la partícula acabava al centre de coordenades. Després de
reflexionari molt ens vam adonar que la nostra partícula anava perdent
energia (sobretot energia potencial) i acabava en l'únic punt on no
en necessitava. Llavors ens vam adonar que el nostre programa a l'hora
de calcular les noves posicions no era prou precís i, a mesura que
anava realitzant més càlculs, l'error s'anava acumulant i cada cop
perdia més energia.
El programa, com ja s'ha explicat, calcula la posició de la partícula
a partir de la posició anterior, de la velocitat i de la seva
acceleració, sempre mitjançant fórmules de cinemàtica i alguna de
dinàmica. Vam introduir un diferencial de temps (dt) que era
constant i molt petit, tant com ens permetia l'ordinador però
insuficient, ja que la partícula anava perdent energia.
Llavors vam intentar veure com ho podríem solucionar. Per resoldre
aquest problema, és a dir, que la partícula conservés la energía, vam
utilitzar una variant del mètode d'Euler de la conservació de
l'energia. Aquest mètode va ser presentat en la
revista
Teaching Mathematics and its applications.
El que vam fer és aplicar aquest mètode, pensat originalment per un
moviment que no estigués lligat a les lleis físiques, com per exemple
la conservació de l'energia, a un espai on hi actuessin aquestes
lleis. Per dur a terme això vam fer que el programa seguís el següent
procediment:
- Primer de tot que calculés l'energia mecànica inicial, a partir
de les velocitats i de les posicions inicials demanades en el
moment que comença el programa, segons la fórmula de l'energia
mecànica:
L'energia cinètica (
) la calcula a
partir de:
i l'energia potencial (
), que és
introduïda en forma d'equació general en funció de x i
y en el moment d'introduir totes les dades, el programa
s'encarrega de trobar-ne el valor.
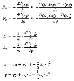
- Segon, que calculés les posicions següents a partir de la força.
Hem de tenir clar que la força és la derivada de l'energia
potencial (U) i això ens permetrà calcular les
acceleracions de la partícula en cada interval de temps a partir
del següent algorisme:
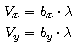
Les velocitats
i
també són introduïdes en el
moment que s'inicia el programa.
Vam deduir que el fet d'utilitzar aquest mètode, a partir de
diferencials, és el que provoca la pèrdua d'energia, ja que la
precisió d'aquest mètode només permet fer aproximacions.
- Tercer, calcular la nova energia cinètica a partir de l'energia
mecànica i en guardàrem el valor.
- Quart, calcular les noves acceleracions a partir de les forces,
tal com havíem fet abans, a partir de les derivades de l'energia
potencial calculada a partir de les noves posicions que abans
hem calculat, i sabent que F = m.a.
- Cinquè, calcular les noves velocitats a partir de les dades
obtingudes mitjançant les fórmules de cinemàtica. Les anomenarem
i
.
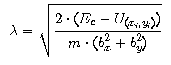
Llavors, el programa calcula un valor que anomenem
, el qual és el valor pel qual
s'han de multiplicar les noves velocitats perquè l'energia
mecànica es conservi. Un cop hagi calculat les noves velocitats
es torna a començar el procés i així indefinidament, fins que en
tinguem prou.
Així, les noves velocitats són:
Llavors, les introduïm en la fórmula de l'apartat 1) i
l'aïllem de la següent forma:
I ara, d'aquesta última equació, s'extreu la
:
Hem de remarcar que l'únic que es fa amb aquest procediment és
contrarrestar la pèrdua de l'energia potencial amb l'augment de
l'energia cinètica, amb el que el moviment resultant produeix un
petit error que es presenta en un desplaçament de la partícula
de la seva trajectòria original.
[ Capítol anterior ]
[ Tornar a l'índex ]
[ Capítol següent ]