Exercicis d'aplicació de la integral definida

    1-Tenim un globus a 4000 metres d'alçada que està pujant amb una velocitat constant de 50 metres/segon. Deixem anar una pilota, sense llençar-la. Si suposem que no hi ha aire, ho sigui la pilota no rep cap mena de fregament es demana: 1-Quina és l'alçària màxima que assolirà. 2-En quin instant tocarà el terra. 3-Amb quina velocitat impactarà amb el terra

      solució


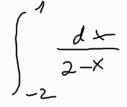
    2-Calcula la següent integral definida:



      solució


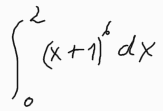
    3-Calcula la següent integral definida:



      solució


    4-Calcula la següent integral definida:



      solució


    5-Calcula la següent integral definida:



      solució


    6-Calcula l'àrea entre f(x) = cos(x), l'eix d'abscisses i les rectes vertical x = 0 i x = pi.

      solució


    7-Calcula l'àrea entre f(x) = (x - 1)·(x2 - x - 6) i l'eix d'abscisses.

      solució


    8-Calcula l'àrea entre les funcions f(x) = x2 i la funció g(x) = -x2 + 8.

      solució


    9-Calcula l'àrea entre la funció f(x) = x3 - 3x i l'eix de les X.

      solució


    10-Calcula l'àrea de color vermell entre les funcions f(x) = (x-2)2/2 i la funció g(x) = -x2 + 2x.
      solució


    11-Volum de revolució. Calcula el volum generat al voltar respecte l'eix X la funció sin(x) entre 0 i pi.

      solució


    12-Calcula l'àrea d'un cercle de radi 1.

      solució


    13-Calcula l'àrea d'un cercle de radi R.

      solució