Exercicis de càlcul de la integral indefinida per parts




    EXERCICIS:

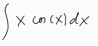
    1-


      solució


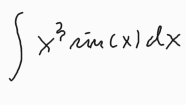
    2-


      solució


    3-


      solució


    4-


      solució


    5-


      solució


    6-


      solució


    7-


      solució


    8-


      solució


    9-


      solució


    10-


      solució


    11-


      solució


    12-


      solució


    13-


      solució


    14- Fora de concurs


      solució