CARACTERITZACIÓ DE LA DISTRIBUCIÓ DE LA LLUM EN LA CAMBRA DE CULTIU. |
Conèixer la distribució de la llum en l'interior de la cambra
de cultiu en diferents alçades i en diferents condicions de funcionament
de la cambra.
La mesura de la quantitat de llum present en cada un dels punts es va
determinar amb l'ajut de dos aparells (Figura 1) diferents:

Per situar sobre el pla els diferents punts de lectura es va construir una
plantilla en què es va dibuixar un enreixat amb un quadre de 7 cm de
costat el qual es va col.locar sobre la base de la cambra de cultiu a diferents
alçades. Se centrà el luxòmetre/radiòmetre sobre
cada una de les quadrícules i s'anotà la lectura proporcionada per
l'aparell (Figura 2). Es van fer mesures en diferents situacions (distància
entre la base i les fonts de llum, nombre i tipus de fonts de llum).

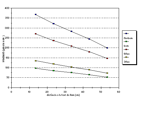
Per determinar el comportament de la irradiació en diferents
situacions de funcionament de la cambra de cultiu, partírem d'una mesura
per cada una de les situacions previstes pel nivell base (53.5 cm de distància
a la font de llum). A partir d'aquestes mesures es van extrapolar els resultats
als altres nivells.
La següent figura refleteix la irradiació a 53.5 cm d'altura
respecte de la base.

mentre que la segona figura resumeix la distribució de la irradiació
a diferents alçades per una línea situada a 17.5 cm del fons.

Tota aquesta informació s'ha resumit en la tercera figura on podem
veure representats els valors mitjans de la irradiació per cada altura i
condició d'il.luminació ( 6 fluorecents i 2 bombetes, sols 2
bombetes, sols 6 fluorescents i sols 3 fluorescents).

| Inici | Què és? | Material | Preparació | Experiències | Conclusions | Bibliografia |